胡洪波

教授

  • 电话:+86-021-34207047
  • 邮箱:hbhu@sjtu.edu.cn
  • 地址:上海市东川路800号上海交通大学生命科学技术学院

学术经历

  • 1991年于浙江大学化工系获工学学士学位
  • 1996年于大连理工大学生化工程研究所获工学硕士学位
  • 1999年于浙江大学化工学院获工学博士学位
  • 2001年起在上海交通大学生命科学技术学院任教,历任讲师、副教授、教授
  • 2000-2001年在韩国仁荷大学(Inha University)生命工学科从事博士后工作
  • 2008-2010年在美国德州农工大学(Texas A&M University))化工学院开展访问学者研究

研究方向

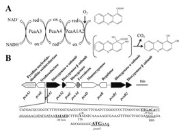
吩嗪类化合物的生物降解机理

主要涉及吩嗪及吩嗪类衍生物的生物降解功能菌的分离,功能基因的克隆以及代谢途径的确定。

基于绿针假单胞菌的合成生物学研究

主要涉及绿针假单胞菌中心代谢途径的改造以提高莽草酸途径前体的供给、莽草酸途径的强化、吩嗪合成途径的改造,以高效合成吩嗪类化合物以及其他的新型平台化合物。

假单胞菌源吩嗪类生物活性物质的研究

主要涉及假单胞菌产吩嗪类生物活性物质的合成和调控机理、吩嗪类化合物进一步生物修饰、新型吩嗪类抗生物质等方面的研究。

代表论著

  • •  

    Yao R, Li J, Feng L, Zhang X, Hu H*. 13C metabolic flux analysis-guided metabolic engineering of Escherichia coli for improved acetol production from glycerol. Biotechnol Biofuels, 2019,12:29.

     

    •  

    Bilal M, Yue S, Hu H*, Wang W, Zhang X. Adsorption/desorption characteristics, separation and purification of phenazine-1-carboxylic acid from fermentation extract by macroporous adsorbing resins. J. Chem Technol Biotechnol, 2018,93:3176-3184

    •  

    Yue S, Bilal M, Song C, Guo S,Li S, Huang P, Hu H*, Wang W, Zhang X. Development of an efficient method for separation and purification of trans-2,3-dihydro-3-hydroxyanthranilic acid from Pseudomonas chlororaphis GP72 fermentation broth. Sep Purif Technol. 2018,202,144-148.

    •  

    Yue S, Bilal M, Guo S, Hu H*, Wang W, Zhang X. Enhanced trans-2,3-dihydro-3-hydroxyanthranilic acid production by pH control and glycerol feeding strategies in engineered Pseudomonas chlororaphis GP72. J. Chem Technol Biotechnol, 2018,93:1618-1626.

    •  

    Zhao Q, Yue S, Bilal M, Hu H*, Wang W, Zhang X. Comparative genomic analysis of 26 Sphingomonas and Sphingobium strains: Dissemination of bioremediation capabilities, biodegradation potential and horizontal gene transfer. Sci Total Environ, 2017,609:1238-1247

  • •  

    Zhao Q, Bilal M,Yue S, Hu H*, Wang W, Zhang X. Identification of biphenyl 2, 3-dioxygenase and its catabolic role for phenazine degradation in Sphingobium yanoikuyae B1. J Environ Manage, 2017, 204: 494-501.

    •  

    Hu H*, Li Y, Liu K, Zhao J, Wang W, Zhang X. Production of trans-2,3-dihydro-3-hydroxyanthranilic acid by engineered Pseudomonas chlororaphis GP72. Appl Microbiol Biotechnol. 2017, 101: 6607-6613

    •  

    Zhao Q, Hu H*, Wang W, Huang X,Zhang X. Novel Three-Component Phenazine-1-Carboxylic Acid 1,2-Dioxygenase in Sphingomonas wittichii DP58. Appl Environ Microbiol, 2017,83:e00133

    •  

    Yao R, Liu Q, Hu H*, Thomas W, Zhang X. Metabolic engineering of Escherichia coli to enhance acetol production from glycerol. Appl Microbiol Biotechnol. 2015, 99: 7945-7952

    •  

    Yue S, Song C, Li S, Huang P, Guo S,Hu H*, Wang W, Zhang X. Synthesis of cinnabarinic acid by metabolically engineered Pseudomonas chlororaphis GP72. Biotechnol Bioeng, 2019, 116:3072-3083

获奖情况

  • 2004年     上海高校优秀青年教师后备人选
  • 2006年     霍英东教育基金会第十届高等院校青年教师奖
  • 2009 年    上海高校优秀青年教师
  • 2013年     上海交通大学 优秀教师

教学情况

  • 主讲生物工程系本科生专业基础课《生物工程单元操作原理(1)》和《生物工程单元操作实验(1)》。
  • 主持国家自然科学基金青年科学基金项目《申嗪霉素(吩嗪-1-羧酸)生物降解机理的研究》,2005.01-2007.12
  • 主持国家自然科学基金面上项目《基于基因调控的吩嗪-1-羧酸的代谢工程研究》,2007.01-2009.12
  • 主持国家自然科学基金面上项目《Sphingmonas wittichii DP58 降解吩嗪-1-羧酸的代谢机制研究》,2014.01-2017.12
  • 主持国家自然科学基金面上项目《绿针假单胞菌GP72利用甘油-葡萄糖合成吩嗪-1-羧酸的机制解析及高产工程菌的构建》,2019.01-2022.12
  • 参与国家科技部863项目《农用抗生素和次生代谢物生物农药研究和创制》,2006.01-2010.12
  • 参与国家科技部973计划项目《假单胞菌农药生物合成与改造》,2009.01-2013.12
  • 参与国家科技部863项目《抗生素生产菌种的基因组删减优化》,2012.01-2015.12
  • 参与国家科技部973计划项目《药物合成途径解析与优化》,2012.01-2016.10

承担项目

学生培养

  • 在读学生
  • 毕业学生